PRODUCT OVERVIEW
- ISBN 9781438002224
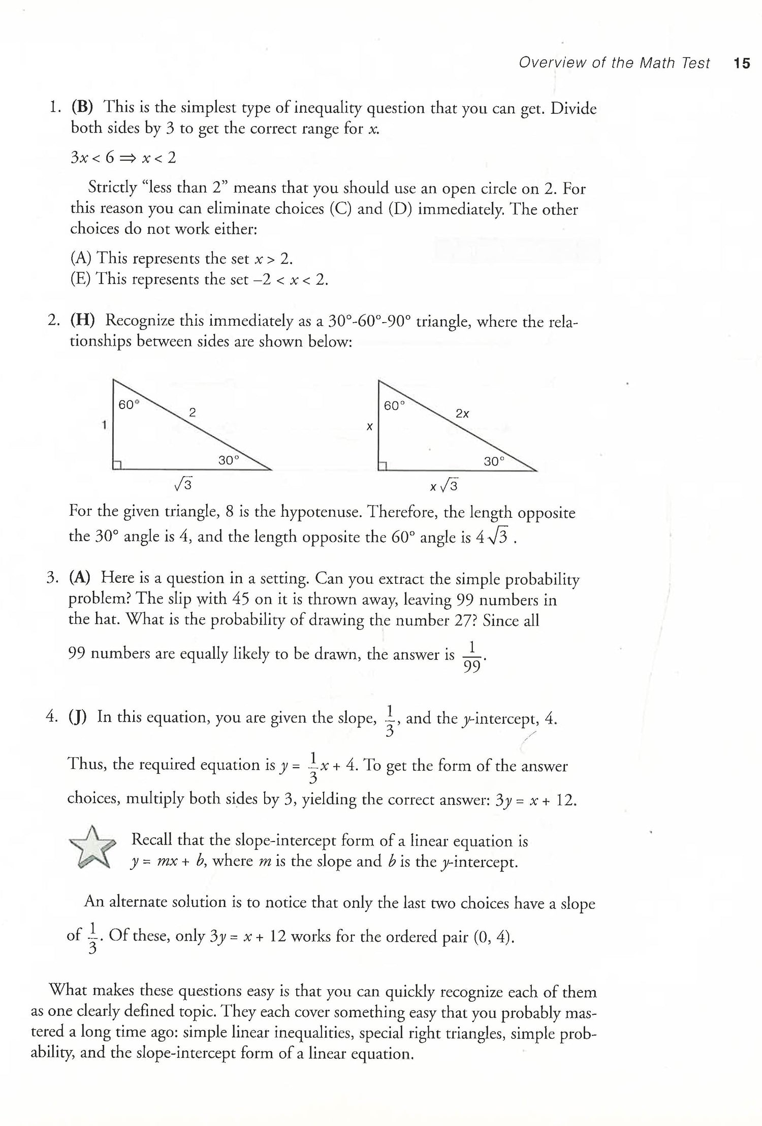
- Categories [2022], BX, BXOS, IM1, NF REF, Non-Fiction, Non-Fiction: Personal Development, Reference, Study & revision guides
- Author(s) Roselyn Teukolsky
- Publisher Peterson's Guides,U.S.
- Pages 480
- Format Paperback
- Dimensions 21.2cm x 27.6cm x 2.1cm
- Weight 0.77 kg
product description
The revised second edition of this hands-on workbook presents exercises, problems, and quizzes with solutions and answers as it takes college-bound students through all math and science topics covered on the ACT. Separate math chapters cover: Pre-algebra, elementary algebra, and intermediate algebra Plane geometry, coordinate geometry, and trigonometry The science sections emphasize the scientific method and focus on how to read scientific passages. Science topics covered include: Data representation passages Research summaries passages Conflicting viewpoints passages Additional features include a glossary of science terms and test-taking strategies for success. The workbook concludes with a full-length math and science practice test.

